Gate EE-2012 Question Paper With Solutions

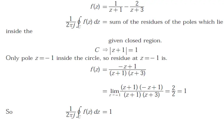
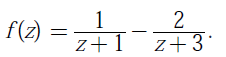
Q. 3 GivenGate EE-2012 Question Paper With SolutionsIf C is a counter clockwise path in the z -plane such thatGate EE-2012 Question Paper With Solutions , the value ofGate EE-2012 Question Paper With Solutionsis

(A) -2

(B) -1

(C) 1

(D) 2

Answer:(C)

Explanation:

Gate EE-2012 Question Paper With Solutions

Learn More:   Gate EC-2015 - 1 Question Paper With Solutions

LEAVE A REPLY

Please enter your comment!
Please enter your name here