Gate EE-2012 Question Paper With Solutions

Q. 42 The Fourier transform of a signal h(t) is Gate EE-2012 Question Paper With Solutions The valueof h(0) is

(A) 1/4

(B) 1/2

(C) 1

(D) 2

Answer:(C)

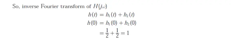
Explanation:

Gate EE-2012 Question Paper With Solutions Gate EE-2012 Question Paper With Solutions Gate EE-2012 Question Paper With Solutions

Learn More:   Gate ME-2017-1 Question Paper With Solutions

LEAVE A REPLY

Please enter your comment!
Please enter your name here