Gate EE-2012 Question Paper With Solutions

Q. 35 In the circuit shown, an ideal switch S is operated at 100 kHz with a duty ratio
of 50%. Given thatGate EE-2012 Question Paper With Solutions  peak-to-peak andGate EE-2012 Question Paper With Solutions  is 5 A dc, the peak currentin S , is

Gate EE-2012 Question Paper With Solutions

(A) 6.6 A

(B) 5.0 A

(C) 5.8 A

(D) 4.2 A

Answer:(C)

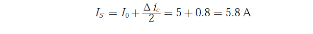
Explanation:

Gate EE-2012 Question Paper With Solutions

Learn More:   Gate EC-2014 - 1 Question Paper With Solutions

LEAVE A REPLY

Please enter your comment!
Please enter your name here