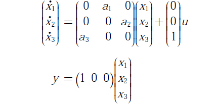
Q. 41 The state variable description of an LTI system is given by
where y is the output and u is the input. The system is controllable for
Answer:(D)
Explanation:

Q. 41 The state variable description of an LTI system is given by
where y is the output and u is the input. The system is controllable for
Answer:(D)
Explanation:
