Gate EE-2012 Question Paper With Solutions

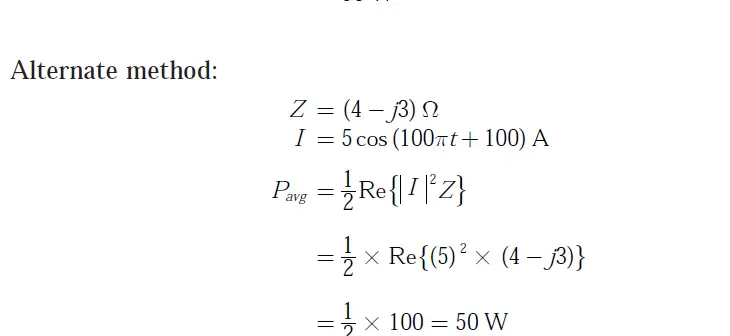
Q. 16 The average power delivered to an impedanceGate EE-2012 Question Paper With Solutions  by a current
Gate EE-2012 Question Paper With Solutions is

(A) 44.2W

(B) 50W

(C) 62.5W

(D) 125W

Answer:(B)

Explanation:

Gate EE-2012 Question Paper With SolutionsGate EE-2012 Question Paper With Solutions

Learn More:   Gate ME-2004 Question Paper With Solutions

LEAVE A REPLY

Please enter your comment!
Please enter your name here