Gate EE-2012 Question Paper With Solutions

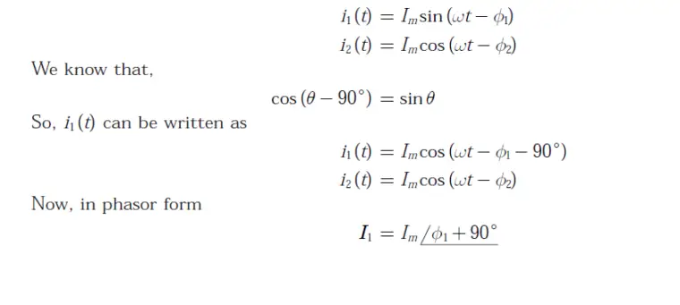
Q. 11 A two-phase load draws the following phase currents :Gate EE-2012 Question Paper With SolutionsGate EE-2012 Question Paper With Solutions
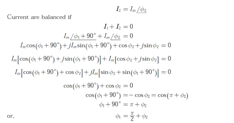
These currents are balanced ifGate EE-2012 Question Paper With Solutions  is equal to.

Gate EE-2012 Question Paper With Solutions

Answer:(A)

Explanation:

Gate EE-2012 Question Paper With SolutionsGate EE-2012 Question Paper With Solutions

Learn More:   Gate EC-2014 - 1 Question Paper With Solutions

LEAVE A REPLY

Please enter your comment!
Please enter your name here