Gate EE-2012 Question Paper With Solutions

Q. 32 The circuit shown is a

Gate EE-2012 Question Paper With SolutionsGate EE-2012 Question Paper With Solutions

Answer:(B)

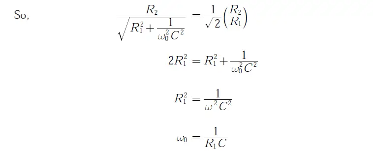
Explanation:

Gate EE-2012 Question Paper With Solutions Gate EE-2012 Question Paper With Solutions Gate EE-2012 Question Paper With Solutions

Learn More:   Gate EC-2016 - 1 Question Paper With Solutions

LEAVE A REPLY

Please enter your comment!
Please enter your name here