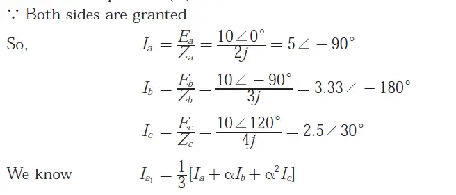
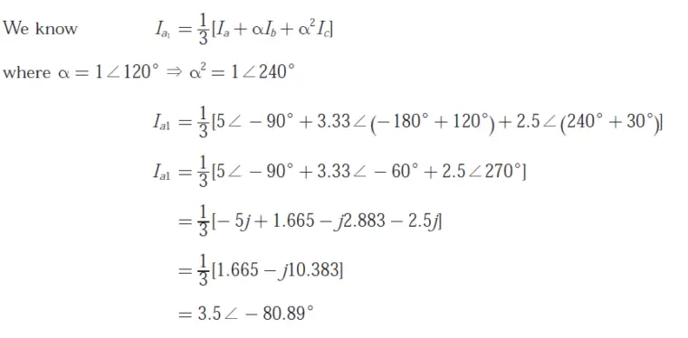
Q. 60 A three-phase alternator generating unbalanced voltages is connected
to an unbalanced load through a 3-phase transmission line as shown in figure. The neutral of the alternator and the star point of the load are solidly grounded. The phase voltages of the alternator are, The positive-sequence component of the load current is
Answer:(D)
Explanation:















