Q.74 The following equation defines a separately excited dc motor in the form of a
differential equation
The above equation may be organized in the state-space form as follows Where the P matrix is given by
Answer:(A)
Explanation:

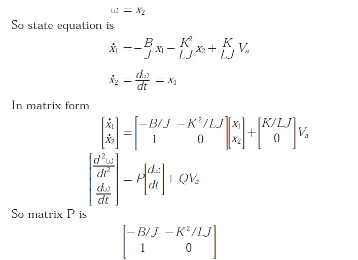
Q.74 The following equation defines a separately excited dc motor in the form of a
differential equation
The above equation may be organized in the state-space form as follows Where the P matrix is given by
Answer:(A)
Explanation:
