Gate EE-2003 Question Paper With Solutions

Q. 62 Assuming the operational amplifier to be ideal, the gainGate EE-2003 Question Paper With Solutions for the circuit shown in figure is
Gate EE-2003 Question Paper With Solutions
(A) -1

(B) -20

(C) -100

(D) -120

Answer:(D)

Explanation:

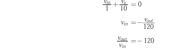
Gate EE-2003 Question Paper With SolutionsGate EE-2003 Question Paper With Solutions

From equation (1)

Gate EE-2003 Question Paper With Solutions

Learn More:   Gate CS-2016-2 Question Paper With Solutions

LEAVE A REPLY

Please enter your comment!
Please enter your name here