Gate EE-2003 Question Paper With Solutions

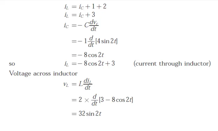
Q. 2 A segment of a circuit is shown in figure vR = 5V, vc = 4 sin2t .The voltage vL is
given by

Gate EE-2003 Question Paper With Solutions
(A) 3 – 8 cos 2t

(B) 32 sin2t

(C) 16 sin2t

(D) 16 cos 2t

Answer: (B)

Explanation:

Gate EE-2003 Question Paper With Solutions

Gate EE-2003 Question Paper With Solutions

Learn More:   Gate ME-2017-2 Question Paper With Solutions

LEAVE A REPLY

Please enter your comment!
Please enter your name here