Gate EE-2003 Question Paper With Solutions

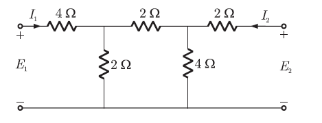
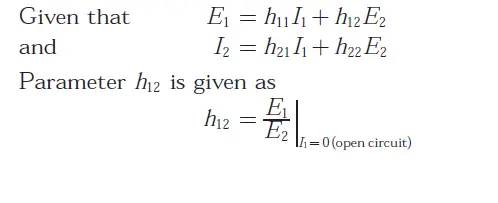
Q. 37 The h-parameters for a two-port network are defined by Gate EE-2003 Question Paper With Solutions

(A) 0.125

(B) 0.167

(C) 0.625

(D) 0.25

Answer:(D)

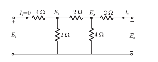
Explanation:
Gate EE-2003 Question Paper With Solutions

Gate EE-2003 Question Paper With Solutions

Gate EE-2003 Question Paper With Solutions

Learn More:   Gate ME 2014-4 Question Paper With Solutions

LEAVE A REPLY

Please enter your comment!
Please enter your name here