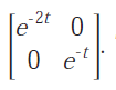
Q.23. A second order system starts with an initial condition without any external input. The state transition matrix for the system is given by

Answer: (A)
Explanation:
Q.23. A second order system starts with an initial condition without any external input. The state transition matrix for the system is given by

Answer: (A)
Explanation: