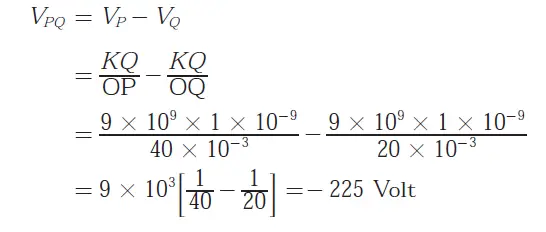
Q. 38 A point charge of +I nC is placed in a space with permittivity of –
F/m as shown in figure. The potential difference between two points P and
Q at distance of 40 mm and 20 mm respectively fr0m the point charge is
(A) 0.22 kV
(B) -225 V
(C) -2.24 kV
(D) 15 V
Answer:(B)
Explanation:













