Gate EE-2003 Question Paper With Solutions

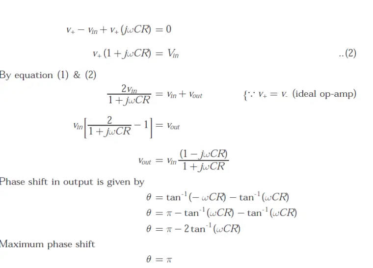
Q. 18 For the circuit of figure with an ideal operational amplifier, the maximum phase
shift of the outputGate EE-2003 Question Paper With Solutions  with reference to the input Gate EE-2003 Question Paper With Solutions is

Gate EE-2003 Question Paper With Solutions

Gate EE-2003 Question Paper With Solutions

Answer: (D)

Explanation:

Gate EE-2003 Question Paper With SolutionsGate EE-2003 Question Paper With Solutions

Learn More:   Gate ME-2018-1 Question Paper With Solutions

LEAVE A REPLY

Please enter your comment!
Please enter your name here