Gate EE-2003 Question Paper With Solutions

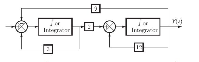
Q. 77 The block diagram of a control system is shown in figure. The transfer function
G(s) = Y(s)/U(s) of the system isGate EE-2003 Question Paper With SolutionsGate EE-2003 Question Paper With Solutions

Answer:(B)

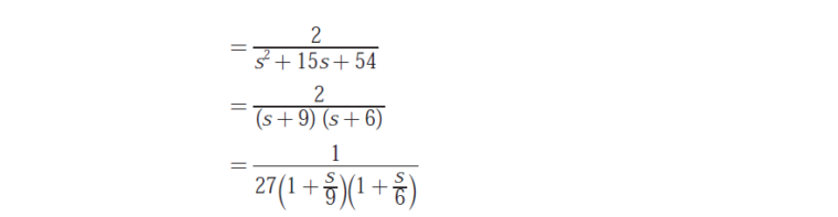
Explanation:

Gate EE-2003 Question Paper With SolutionsGate EE-2003 Question Paper With SolutionsGate EE-2003 Question Paper With SolutionsGate EE-2003 Question Paper With Solutions

Learn More:   Gate ME-2017-1 Question Paper With Solutions

LEAVE A REPLY

Please enter your comment!
Please enter your name here