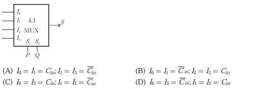
Q.19. Figure shows a 4 to 1 MUX to be used to implement the sum S of a 1-bit full adder with input bits P and Q and the carry input . Which of the following combinations of inputs to,,
and
of the MUX will realize the sum S ?
Answer: (C)
Explanation:














