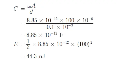
Q. 39 A parallel plate capacitor has an electrode area of with spacing of
0.1 mm between the electrodes. The dielectric between the plates is air with
a permittivity of The
(A) 8.85 pJ
(B) 440 pJ
(C) 22.1 nJ
(D) 44.3 nJ
Answer:(D)
Explanation:













