Gate EC-2015 – 3 Question Paper With Solutions

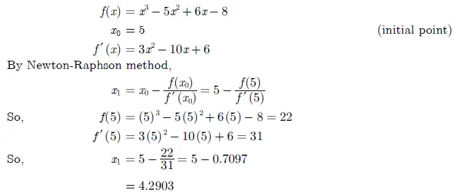
Q. 59 The Newton-Raphson method is used to solve the equation
Gate EC-2015 - 3 Question Paper With Solutions Taking the initial guess as x = 5, the solution obtained at the end of the first iteration is_______.

Answer: (4.29)

Explanation:
Gate EC-2015 - 3 Question Paper With Solutions

Learn More:   Gate ME-2019-2 Question Paper With Solutions

LEAVE A REPLY

Please enter your comment!
Please enter your name here