Gate EC-2015 – 3 Question Paper With Solutions

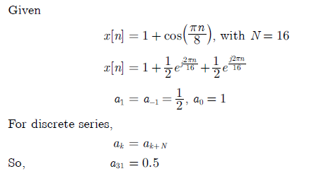
Q. 50 Let Gate EC-2015 - 3 Question Paper With Solutions be a periodic signal with period 16. Its DFS coefficients are defined by Gate EC-2015 - 3 Question Paper With Solutions for all k . The value of the coefficientGate EC-2015 - 3 Question Paper With Solutions is_____.

Answer: (0.5)

Explanation:
Gate EC-2015 - 3 Question Paper With Solutions

Learn More:   Gate CS-2015-3 Question Paper With Solutions

LEAVE A REPLY

Please enter your comment!
Please enter your name here