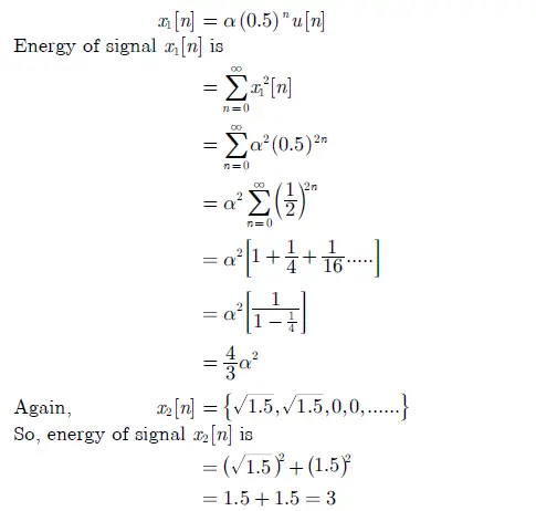
Q. 51 Two sequenceshave the same energy. Suppose
where
is a positive real number and u[n] is the unit step sequence. Assume
Then the value of is_______.
Answer: (1.5)
Explanation:

Q. 51 Two sequenceshave the same energy. Suppose
where
is a positive real number and u[n] is the unit step sequence. Assume
Then the value of is_______.
Answer: (1.5)
Explanation:
