Gate EC-2015 – 3 Question Paper With Solutions

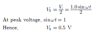
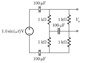
Q. 16 At very high frequencies, the peak output voltage V0 (in Volts) is______.

Gate EC-2015 - 3 Question Paper With Solutions

Answer: (0.5)

Explanation:

Gate EC-2015 - 3 Question Paper With Solutions
Gate EC-2015 - 3 Question Paper With Solutions Gate EC-2015 - 3 Question Paper With Solutions

Learn More:   Gate CS-2003 Question Paper With Solutions

LEAVE A REPLY

Please enter your comment!
Please enter your name here