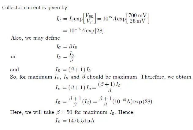
Q. 45 An npn BJT having reverse saturation current Is A is biased in the forward active region with
The thermal voltage
and the current gain
may vary from 50 to 150 due to manufacturing variations. The maximum emitter current (in μA ) is_______.
Answer: (1475.5)
Explanation:












