Gate EC-2015 – 3 Question Paper With Solutions

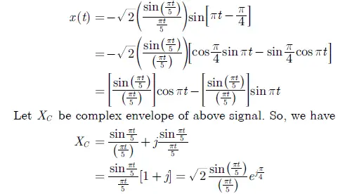
Q. 61 The complex envelope of the bandpass signal Gate EC-2015 - 3 Question Paper With Solutionscentred aboutGate EC-2015 - 3 Question Paper With Solutions is
Gate EC-2015 - 3 Question Paper With Solutions

Answer: (C)

Explanation:
Gate EC-2015 - 3 Question Paper With Solutions

Learn More:   Gate EC-2006 Question Paper With Solutions

LEAVE A REPLY

Please enter your comment!
Please enter your name here