Gate EC-2015 – 3 Question Paper With Solutions

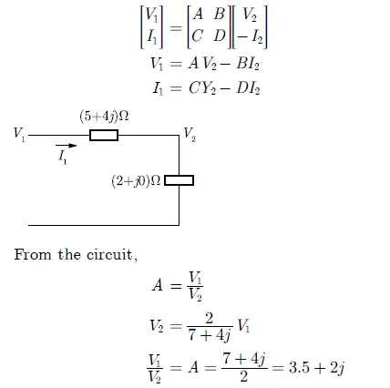
Q. 63 The ABCD parameters of the following 2-port network are
Gate EC-2015 - 3 Question Paper With Solutions Gate EC-2015 - 3 Question Paper With Solutions

Answer: (B)

Explanation:

Gate EC-2015 - 3 Question Paper With Solutions
Gate EC-2015 - 3 Question Paper With Solutions Gate EC-2015 - 3 Question Paper With Solutions

Learn More:   Gate ME 2014-1 Question Paper With Solutions

LEAVE A REPLY

Please enter your comment!
Please enter your name here