Q. 20 A message signal is used to modulate the phase of a carrier
to get the modulated signal
The bandwidth of y(t)
(A) depends on but not on
(B) depends on bust not on
(C) depends on both and
(D) does not depend on or
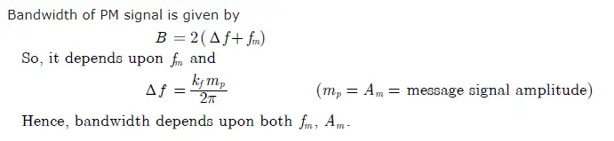
Answer: (C)
Explanation:












