Gate EC-2015 – 3 Question Paper With Solutions

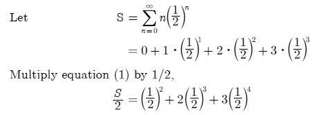
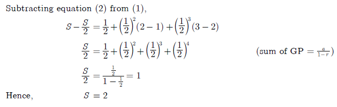
Q. 18 The value of Gate EC-2015 - 3 Question Paper With Solutions

Answer: (2)

Explanation:
Gate EC-2015 - 3 Question Paper With Solutions
Gate EC-2015 - 3 Question Paper With Solutions

Learn More:   Gate EE-2017-2 Question Paper With Solutions

LEAVE A REPLY

Please enter your comment!
Please enter your name here