Gate EC-2015 – 3 Question Paper With Solutions

Q. 36 The variance of the random variable X with probability density functionGate EC-2015 - 3 Question Paper With Solutions

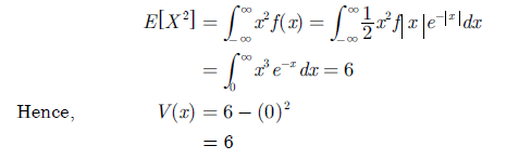
Answer: (6)

Explanation:

Gate EC-2015 - 3 Question Paper With Solutions

Gate EC-2015 - 3 Question Paper With Solutions

Learn More:   Gate ME-2018-2 Question Paper With Solutions

LEAVE A REPLY

Please enter your comment!
Please enter your name here