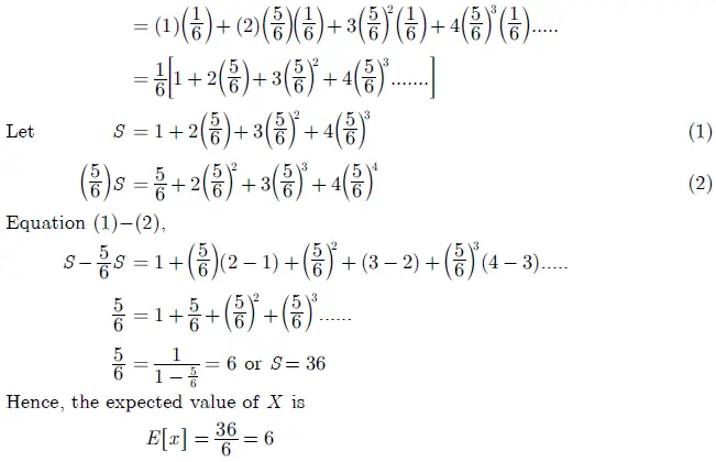
Q. 47 A fair die with faces (1, 2, 3, 4, 5, 6) is thrown repeatedly till ‘3’ is observed for the first time. Let X denote the number of times the die is thrown. The expected value of X is_______.
Answer: (6)
Explanation:

Q. 47 A fair die with faces (1, 2, 3, 4, 5, 6) is thrown repeatedly till ‘3’ is observed for the first time. Let X denote the number of times the die is thrown. The expected value of X is_______.
Answer: (6)
Explanation:
