Gate EC-2015 – 3 Question Paper With Solutions

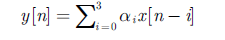
Q. 12 Consider a four-point moving average filter defined by the equation
Gate EC-2015 - 3 Question Paper With Solutions
The condition on the filter coefficients that results in a null at zero frequency is
Gate EC-2015 - 3 Question Paper With Solutions

Answer: (A)

Explanation:
Gate EC-2015 - 3 Question Paper With Solutions

Learn More:   Gate CS-2006 Question Paper With Solutions

LEAVE A REPLY

Please enter your comment!
Please enter your name here