Gate EC-2015 – 3 Question Paper With Solutions

Q. 24 ForGate EC-2015 - 3 Question Paper With Solutions the determinant of Gate EC-2015 - 3 Question Paper With Solutions is
Gate EC-2015 - 3 Question Paper With Solutions

Answer: (A)

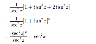
Explanation;
Gate EC-2015 - 3 Question Paper With Solutions Gate EC-2015 - 3 Question Paper With Solutions

Gate EC-2015 - 3 Question Paper With Solutions

Learn More:   Gate EC-2008 Question Paper With Solutions

LEAVE A REPLY

Please enter your comment!
Please enter your name here