Gate EC-2015 – 3 Question Paper With Solutions

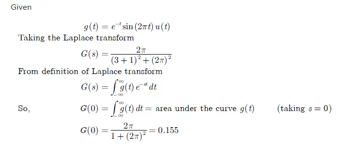
Q. 28 Consider the function Gate EC-2015 - 3 Question Paper With Solutions where (t) is the unit step function. The area under g(t) is_______.

Answer: (0.155)

Explanation:

Gate EC-2015 - 3 Question Paper With Solutions

Learn More:   Gate ME-2018-2 Question Paper With Solutions

LEAVE A REPLY

Please enter your comment!
Please enter your name here