Gate EC-2015 – 3 Question Paper With Solutions

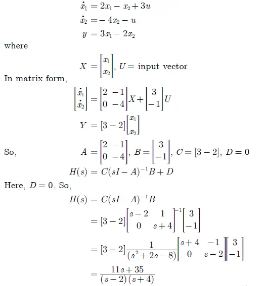
Q. 44 A network is described by the state model as
Gate EC-2015 - 3 Question Paper With Solutions
The transfer functionGate EC-2015 - 3 Question Paper With Solutions
Gate EC-2015 - 3 Question Paper With Solutions

Answer: (A)

Explanation:
Gate EC-2015 - 3 Question Paper With Solutions

Learn More:   Gate CS-2004 Question Paper With Solutions

LEAVE A REPLY

Please enter your comment!
Please enter your name here