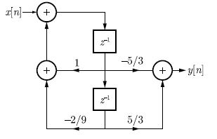
Q. 62 A realization of a stable discrete time system is shown in the figure. If the system is excited by a unit step sequence input x[n], the response y[n] is
Answer:(C)
Explanation:

Q. 62 A realization of a stable discrete time system is shown in the figure. If the system is excited by a unit step sequence input x[n], the response y[n] is
Answer:(C)
Explanation:
