Gate EC-2015 – 3 Question Paper With Solutions

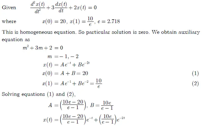
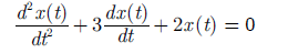
Q. 60 Consider the differential equation
Gate EC-2015 - 3 Question Paper With Solutions
Given x(0) = 20 andGate EC-2015 - 3 Question Paper With Solutions, where e = 2.718, the value of x(2) is______.

Answer: (0.856)

Explanation:
Gate EC-2015 - 3 Question Paper With Solutions
Gate EC-2015 - 3 Question Paper With Solutions

Learn More:   Gate CS-2014-3 Question Paper With Solutions

LEAVE A REPLY

Please enter your comment!
Please enter your name here