Gate EC-2015 – 3 Question Paper With Solutions

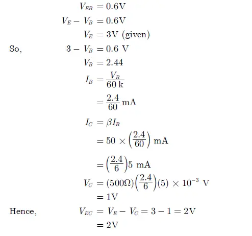
Q. 29 In the circuit shown in the figure, the BJT has a current gainGate EC-2015 - 3 Question Paper With Solutions of 50. For an emitter-base voltage Gate EC-2015 - 3 Question Paper With Solutions, the emitter-collector voltage Gate EC-2015 - 3 Question Paper With Solutions(in Volts) is _______.

Gate EC-2015 - 3 Question Paper With Solutions

Answer: (2)

Explanation:

Gate EC-2015 - 3 Question Paper With Solutions

Learn More:   Gate CS-2006 Question Paper With Solutions

LEAVE A REPLY

Please enter your comment!
Please enter your name here