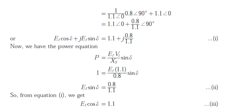
Q. 47 A non-salient pole synchronous generator having synchronous reactance of 0.8
pu is supplying 1 pu power to a unity power factor load at a terminal voltage of
1.1 pu. Neglecting the armature resistance, the angle of the voltage behind the
synchronous reactance with respect to the angle of the terminal voltage in degrees
is _______.
Answer:()
Explanation:















Excellent