Gate EE-2014-3 Question Paper With Solutions

Q. 13 LetGate EE-2014-3 Question Paper With Solutions where f and v are scalar and vector fields
respectively. If Gate EE-2014-3 Question Paper With Solutions then Gate EE-2014-3 Question Paper With Solutions is

Gate EE-2014-3 Question Paper With Solutions

Answer:(A)

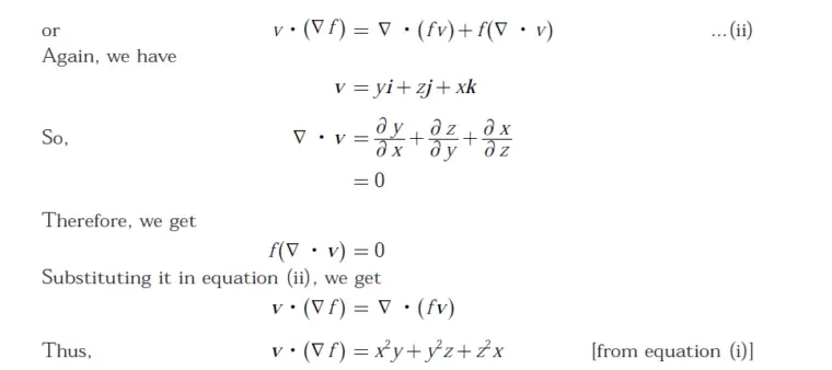
Explanation:

Gate EE-2014-3 Question Paper With Solutions Gate EE-2014-3 Question Paper With Solutions

Learn More:   Gate ME-2018-2 Question Paper With Solutions

1 COMMENT

LEAVE A REPLY

Please enter your comment!
Please enter your name here