Gate EE-2014-3 Question Paper With Solutions

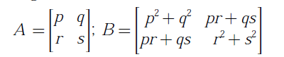
Q. 11 Two matrices A and B are given below :

Gate EE-2014-3 Question Paper With Solutions

If the rank of matrix A is N , then the rank of matrix B is

(A) N/2

(B) N – 1

(C) N

(D) 2N

Answer:(C)

Explanation:

Gate EE-2014-3 Question Paper With Solutions

Gate EE-2014-3 Question Paper With Solutions

Learn More:   Gate EE-2015-2 Question Paper With Solutions

1 COMMENT

LEAVE A REPLY

Please enter your comment!
Please enter your name here