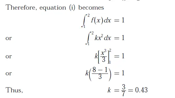
Q. 14 Lifetime of an electric bulb is a random variable with densitywhere x
is measured in years. If the minimum and maximum lifetimes of bulb are 1 and 2
years respectively, then the value of k is _____.
Answer:(0.43)
Explanation:

Q. 14 Lifetime of an electric bulb is a random variable with densitywhere x
is measured in years. If the minimum and maximum lifetimes of bulb are 1 and 2
years respectively, then the value of k is _____.
Answer:(0.43)
Explanation:

Excellent