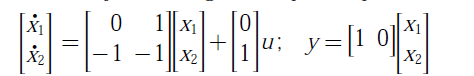
Q. 45 Consider the system described by following state space equations
If is unit step input, then the steady state error of the system is
(A) 0
(B) 1/2
(C) 2/3
(D) 1
Answer:(A)
Explanation:


Q. 45 Consider the system described by following state space equations
If is unit step input, then the steady state error of the system is
(A) 0
(B) 1/2
(C) 2/3
(D) 1
Answer:(A)
Explanation:


Excellent