Gate EE-2014-3 Question Paper With Solutions

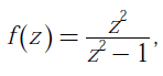
Q. 36 Integration of the complex function Gate EE-2014-3 Question Paper With Solutions
, in the counterclockwise direction, around Gate EE-2014-3 Question Paper With Solutions, is

Gate EE-2014-3 Question Paper With Solutions

Answer:(C)

Explanation:

Gate EE-2014-3 Question Paper With Solutions Gate EE-2014-3 Question Paper With Solutions Gate EE-2014-3 Question Paper With Solutions

Learn More:   Gate ME-2007 Question Paper With Solutions

1 COMMENT

LEAVE A REPLY

Please enter your comment!
Please enter your name here