Gate EE-2014-3 Question Paper With Solutions

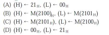
Q. 33 In 8085A microprocessor, the operation performed by the instruction LHLD
Gate EE-2014-3 Question Paper With Solutions is

Gate EE-2014-3 Question Paper With Solutions

Answer:(C)

Explanation:

Gate EE-2014-3 Question Paper With Solutions

Learn More:   Gate ME-2018-2 Question Paper With Solutions

1 COMMENT

LEAVE A REPLY

Please enter your comment!
Please enter your name here