Q. 8 If x is real and , then possible values of
include
(A) 2, 4
(B) 2, 14
(C) 4, 52
(D) 14, 52
Answer:(D)
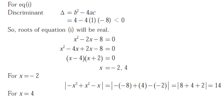
Explanation:


Q. 8 If x is real and , then possible values of
include
(A) 2, 4
(B) 2, 14
(C) 4, 52
(D) 14, 52
Answer:(D)
Explanation:

