Gate EE-2014-2 Question Paper With Solutions

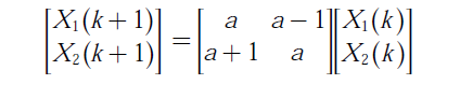
Q. 43 A discrete system is represented by the difference equation

Gate EE-2014-2 Question Paper With Solutions

Gate EE-2014-2 Question Paper With Solutions

Answer:(A)

Explanation:

Gate EE-2014-2 Question Paper With Solutions

Learn More:   Gate CS-2008 Question Paper With Solutions

LEAVE A REPLY

Please enter your comment!
Please enter your name here