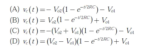
Q. 17 The switch SW shown in the circuit is kept at position ‘1’ for a long duration.
At the switch is moved to position ‘2’. Assuming
, the voltage
across the capacitor is
Answer:(D)
Explanation:


Q. 17 The switch SW shown in the circuit is kept at position ‘1’ for a long duration.
At the switch is moved to position ‘2’. Assuming
, the voltage
across the capacitor is
Answer:(D)
Explanation:

