Q. 14 All the values of the multi-valued complex function where
, are
(A) purely imaginary
(B) real and non-negative
(C) on the unit circle
(D) equal in real and imaginary parts
Answer:(B)
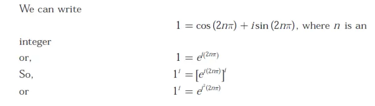
Explanation:

Q. 14 All the values of the multi-valued complex function where
, are
(A) purely imaginary
(B) real and non-negative
(C) on the unit circle
(D) equal in real and imaginary parts
Answer:(B)
Explanation:
