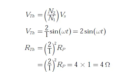
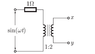
Q. 21 Assuming an ideal transformer, the Thevenin’s equivalent voltage and impedance
as seen from the terminals x and y for the circuit in figure are
Answer:(A)
Explanation:

Q. 21 Assuming an ideal transformer, the Thevenin’s equivalent voltage and impedance
as seen from the terminals x and y for the circuit in figure are
Answer:(A)
Explanation:
