Gate EE-2014-2 Question Paper With Solutions

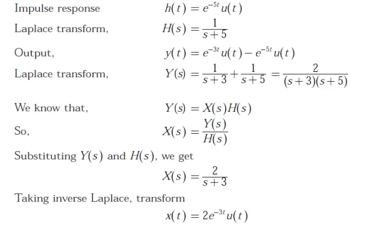
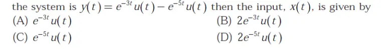
Q. 20 Consider an LTI system with impulse response Gate EE-2014-2 Question Paper With Solutions If the output of

Gate EE-2014-2 Question Paper With Solutions

Answer:(B)

Explanation:

Gate EE-2014-2 Question Paper With Solutions

Learn More:   Gate CS-2006 Question Paper With Solutions

LEAVE A REPLY

Please enter your comment!
Please enter your name here