Gate EE-2014-2 Question Paper With Solutions

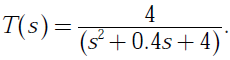
Q. 27 The closed-loop transfer function of a system isGate EE-2014-2 Question Paper With Solutions. The steady
state error due to unit step input is _____.

Answer:(0)

Explanation:

Gate EE-2014-2 Question Paper With Solutions

Learn More:   Gate ME-2005 Question Paper With Solutions

LEAVE A REPLY

Please enter your comment!
Please enter your name here